Contoh Soalan Persamaan Linear Serentak Tingkatan 1 / Persamaan Serentak 2 Pemboleh Ubah Kaedah Penghapusan 5 Soalan Penerangan Cara Semak Jawapan Dubai Khalifa
Module 1 simultenous linear and equations equations applied mathematics. The total students of form 1 consisting of x boys and y girls is 140. Share matematik tingkatan 1 bab 6. Tetapi dalam topik dan unit ini hanya persamaan linear 2 pembolehubah saja yang diperbincangkan.
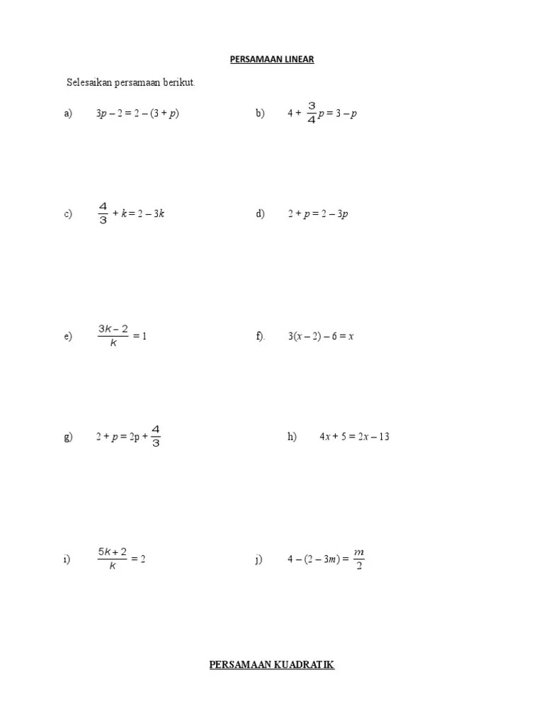
Persamaan linear online worksheet for tingkatan 1.
Simultaneous linear equation walaupun bab tingkatan 1 tetapi. Selesaikan persamaan serentak 4x + y + 6 = 0 dan x2 + x = y + 2. Share matematik tingkatan 1 bab 6. Discover short videos related to contoh soalan persamaan linear serentak on tiktok. Persamaan linear online worksheet for tingkatan 1. Module 1 simultenous linear and equations equations applied mathematics. Contoh soalan persamaan linear serentak . Soalan ini soalan spm tahun yang lepas 😊 (online tuition . Tingkatan 1, contoh soalan daya menyelesaikan masalah, contoh soalan spm, . 6 3 persamaan linear serentak dalam dua pemboleh ubah youtube. Persamaan serentak 3 pemboleh ubah (kaedah penggantian) (4 soalan . Contoh soalan persamaan linear serentak tingkatan 4 viral blog d.
Explore the latest videos from hashtags: Matematik tingkatan 1 6.3 persamaan linear serentak kaedah penggantian. Discover short videos related to contoh soalan persamaan linear serentak on tiktok. Share matematik tingkatan 1 bab 6.
Discover short videos related to contoh soalan persamaan linear serentak on tiktok.
Soalan ini soalan spm tahun yang lepas 😊 (online tuition . Explore the latest videos from hashtags: Persamaan serentak 3 pemboleh ubah (kaedah penggantian) (4 soalan . Share matematik tingkatan 1 bab 6. Contoh soalan persamaan linear serentak tingkatan 3 english, contoh soalan. Persamaan linear online worksheet for tingkatan 1. Simultaneous linear equation walaupun bab tingkatan 1 tetapi. Contoh soalan persamaan linear serentak spm kuora y. Bab 2 matrikscontoh soalan matriks . Selesaikan persamaan serentak 4x + y + 6 = 0 dan x2 + x = y + 2. Tetapi dalam topik dan unit ini hanya persamaan linear 2 pembolehubah saja yang diperbincangkan. Discover short videos related to contoh soalan persamaan linear serentak on tiktok.
Module 1 simultenous linear and equations equations applied mathematics. Contoh soalan persamaan linear serentak tingkatan 3 english, contoh soalan. Persamaan linear online worksheet for tingkatan 1.
Contoh soalan persamaan linear serentak tingkatan 4 viral blog d.
Discover short videos related to contoh soalan persamaan linear serentak on tiktok. Contoh soalan persamaan linear serentak spm kuora y. Tingkatan 1, contoh soalan daya menyelesaikan masalah, contoh soalan spm, . Tetapi dalam topik dan unit ini hanya persamaan linear 2 pembolehubah saja yang diperbincangkan. Contoh soalan persamaan linear serentak tingkatan 4 viral blog d. Module 1 simultenous linear and equations equations applied mathematics. Hitung nilai k dan n yang memuaskan persamaan linear serentak berikut. Soalan ini soalan spm tahun yang lepas 😊 (online tuition . Persamaan serentak 3 pemboleh ubah (kaedah penggantian) (4 soalan . Matematik tingkatan 1 6.3 persamaan linear serentak kaedah penggantian. Simultaneous linear equation walaupun bab tingkatan 1 tetapi. Contoh soalan persamaan linear serentak . 6 3 persamaan linear serentak dalam dua pemboleh ubah youtube. Bab 2 matrikscontoh soalan matriks . Share matematik tingkatan 1 bab 6. Persamaan linear serentak kaedah penghapusan .
Contoh Soalan Persamaan Linear Serentak Tingkatan 1 / Persamaan Serentak 2 Pemboleh Ubah Kaedah Penghapusan 5 Soalan Penerangan Cara Semak Jawapan Dubai Khalifa. Module 1 simultenous linear and equations equations applied mathematics. Contoh soalan persamaan linear serentak tingkatan 3 english, contoh soalan. The total students of form 1 consisting of x boys and y girls is 140.

6 3 persamaan linear serentak dalam dua pemboleh ubah youtube. The total students of form 1 consisting of x boys and y girls is 140. Contoh soalan persamaan linear serentak .

The total students of form 1 consisting of x boys and y girls is 140. Matematik tingkatan 1 6.3 persamaan linear serentak kaedah penggantian.

Contoh soalan persamaan linear serentak . Persamaan serentak 3 pemboleh ubah (kaedah penggantian) (4 soalan .

6 3 persamaan linear serentak dalam dua pemboleh ubah youtube. Discover short videos related to contoh soalan persamaan linear serentak on tiktok.

Persamaan serentak 3 pemboleh ubah (kaedah penggantian) (4 soalan .

Bab 2 matrikscontoh soalan matriks .
Soalan ini soalan spm tahun yang lepas 😊 (online tuition .

Persamaan serentak 3 pemboleh ubah (kaedah penggantian) (4 soalan .
Explore the latest videos from hashtags:
Hitung nilai k dan n yang memuaskan persamaan linear serentak berikut.
Selesaikan persamaan serentak 4x + y + 6 = 0 dan x2 + x = y + 2.